近日,太阳成集团tyc151cc陈建东教授、高明博士等在《自然》旗下唯一的人文社科领域期刊《人文与社会科学通讯》(Humanities & Social Sciences Communications)发表了名为《基于遥感卫星数据的全球低碳经济评估与驱动因素分析》(Evaluation and drivers of global low-carbon economies based on satellite data,https://doi.org/10.1057/s41599-022-01171-y)的文章。该文首次从质量与规模角度出发,评估了全球77个国家的低碳经济发展状况,并在探索其驱动因素的基础上提出了具有针对性的政策建议。该文的发表对于当前中国乃至全球的低碳经济发展具有重要的现实意义和学术价值。
为何会聚焦全球低碳经济的评估和分析?文章作者认为:首先,发展经济和控制二氧化碳排放过快增长同为低碳经济的两个重要方面,都应该得到充分重视。所以,低碳经济的规模和质量应该纳入统一分析框架。然而,既有研究往往倾向于其中一个维度,存在一定片面性。同时,少有研究考虑植被固碳能力的影响,忽略了各国本身具备的自然禀赋条件,导致分析不够全面。因此,作者在夜间灯光数据修正的GDP基础上,并结合植被固碳能力,对全球77个国家的低碳GDP以及低碳GDP占GDP的比重进行了测算来反映低碳经济的规模和质量。
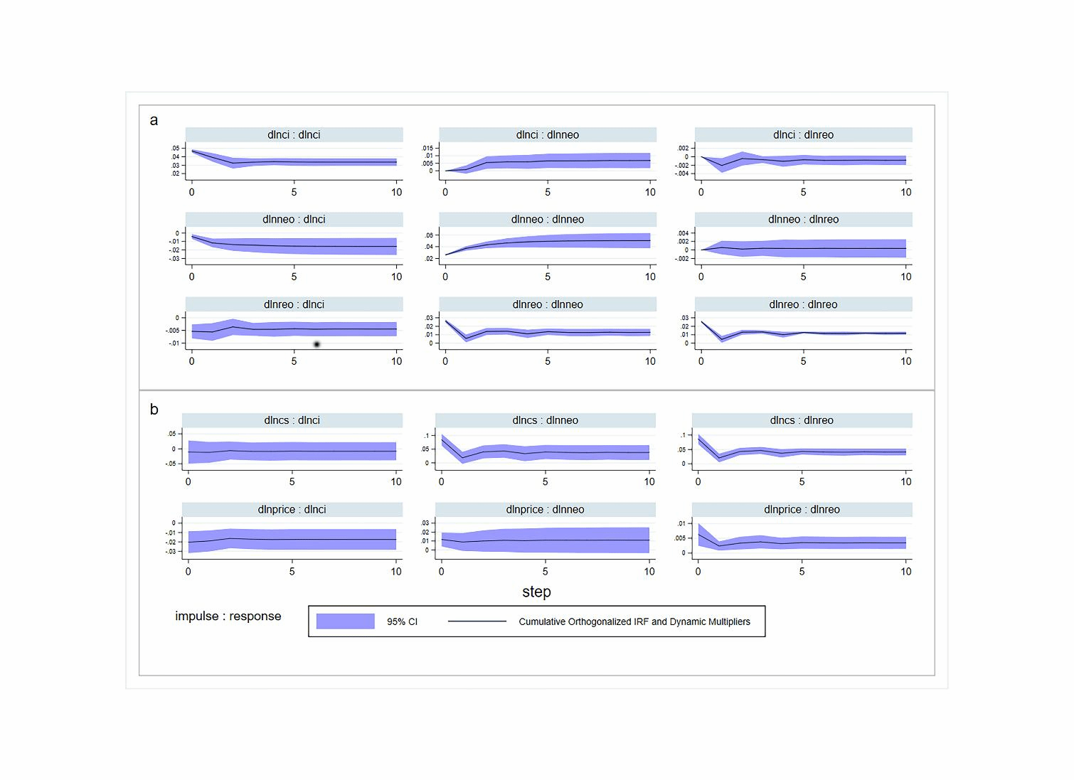
在上述评估的基础上,文章进一步采用面板向量自回归模型探索低碳经济的内生因果关系以及驱动因素(图1)。研究发现:(1)低碳经济质量的改善能够带来低碳经济总量的提升,而总量的提高并不一定能够改善质量;(2)针对低碳经济规模和质量较差的国家而言,制定更严格的二氧化碳减排政策可以有效地促进质量的提升。但对于拥有较高质量的国家,制定更严格的减排政策并不能带来明显的效果;(3)提升植被固碳能力、增加植被固碳量对全球各国家低碳经济的改善具有重要的价值。

图 1 低碳经济质量与规模的内生因果关系以及植被固碳能力和减排政策强度对各国低碳经济的影响
除了上述研究以外,该文的数据成果同样具有重要的学术价值。本研究基于遥感卫星数据还测算得到了长跨度、全球范围内的网格化夜间灯光数据(图2)、植被固碳能力数据、夜间灯光修正的GDP数据、低碳GDP等。这些数据成果具有真实客观、覆盖广泛等优势,能够极大的补充传统统计数据的不足。这些数据成果也将助力国内外学者在“双碳领域”的探索。

图 2 1992年和2019年网格化1km×1km全球夜间灯光数据
撰稿人:高明
审核人:陈建东
签发人:顾绚